TUGAS BESAR
KONTROL AEROPONIK
[Sensor Kelembapan, Sensor LDR, Sensor pH, Sensor Suhu, Sensor Water level]
Gambar LDR Sensor
Spesifikasi:
· Tegangan maksimum (DC): 150V
· Konsumsi arus maksimum: 100mW
· Tingkatan Resistansi/Tahanan : 10Ω sampai 100KΩ
· Puncak spektral: 540nm (ukuran gelombang cahaya)
· Waktu Respon Sensor : 20ms – 30ms
· Suhu operasi: -30° Celsius – 70° Celcius.
Masing-masing ukuran tabung tersebut kurang lebih 15 cm x 10 cm. Dari segi desain pun voltmeter tidak jauh berbeda terhadap desain amperemeter.Sama halnya dengan hambatan memiliki bentuk sama yakni multiplier, seri, dan galvanometer. Faktanya, kinerja yang dihasilkan dari alat tersebut lebih baik, serta senantiasa meningkat ketika sudah ditambahkan multiplier.Tujuan penambahan multiplier didalam alat dimaksudkan untuk kinerja dan kemampuannya menjadi berkali-kali lebih besar. Sementara dapat menciptakan suatu gaya magnet ketika medan magnet dan kuat arus listrik saling berinteraksi. Gaya magnet tersebut disinyalir untuk menggerakkan jarum. Dari sini kapasitas arus pada jarum berdasarkan aliran arus listrik.
Bagian-bagian voltmeter :
- Batas ukur maksimum dan minimum,
- Set-up untuk mengatur fungsi,
- Jarum penunjuk,
- Terminal kutub positif dan kutub negatif.
- Skala tinggi dan Rendah dari tegangan listrik terukur.
4. Ground

- Untuk keselamatan, grounding berfungsi sebagai penghantar arus listrik langsung ke bumi atau tanah saat terjadi kebocoran isolasi atau percikan api pada konsleting, misalnya kabel grounding yang terpasang pada badan/sasis alat elektronik seperti setrika listrik akan mencegah kita tersengat listrik saat rangkaian di dalam setrika bocor dan menempel ke badan setrika.
- Dalam instalasi penangkal petir, system grounding berfungsi sebagai penghantar arus listrik yang besar langsung ke bumi. meski sifatnya sama, namun pemasangan kabel grounding untuk instalasi rumah dan grounding untuk pernangkal petir pemasangannya harus terpisah.
- Sebagai proteksi peralatan elektronik atau instrumentasi sehingga dapat mencegah kerusakan akibat adanya bocor tegangan.
- Grounding di dunia eletronika berfungsi untuk menetralisir cacat (noise) yang disebabkan baik oleh daya yang kurang baik, ataupun kualitas komponen yang tidak standar.
- Bila kabel grounding berfungsi sebagai penghantar arus, maka alat yang mendeteksi adanya arus sisa atau arus bocor adalah ELCB. ELCB ini adalah sebagai proteksi instalasi listrik sebagai pencegah arus bocor. Untuk lebih jelasnya bisa lihat ulasannya pada ELCB Pengaman Arus Bocor.
LED merupakan keluarga dari Dioda yang terbuat dari Semikonduktor. Cara kerjanya pun hampir sama dengan Dioda yang memiliki dua kutub yaitu kutub Positif (P) dan Kutub Negatif (N). LED hanya akan memancarkan cahaya apabila dialiri tegangan maju (bias forward) dari Anoda menuju ke Katoda.
LED terdiri dari sebuah chip semikonduktor yang di doping sehingga menciptakan junction P dan N. Yang dimaksud dengan proses doping dalam semikonduktor adalah proses untuk menambahkan ketidakmurnian (impurity) pada semikonduktor yang murni sehingga menghasilkan karakteristik kelistrikan yang diinginkan. Ketika LED dialiri tegangan maju atau bias forward yaitu dari Anoda (P) menuju ke Katoda (K), Kelebihan Elektron pada N-Type material akan berpindah ke wilayah yang kelebihan Hole (lubang) yaitu wilayah yang bermuatan positif (P-Type material). Saat Elektron berjumpa dengan Hole akan melepaskan photon dan memancarkan cahaya monokromatik (satu warna).

Terdapat dua bagian utama pada sebuah Motor Listrik DC, yaitu Stator dan Rotor. Stator adalah bagian motor yang tidak berputar, bagian yang statis ini terdiri dari rangka dan kumparan medan. Sedangkan Rotor adalah bagian yang berputar, bagian Rotor ini terdiri dari kumparan Jangkar. Dua bagian utama ini dapat dibagi lagi menjadi beberapa komponen penting yaitu diantaranya adalah Yoke (kerangka magnet), Poles (kutub motor), Field winding (kumparan medan magnet), Armature Winding (Kumparan Jangkar), Commutator (Komutator) dan Brushes (kuas/sikat arang).
Pada prinsipnya motor listrik DC menggunakan fenomena elektromagnet untuk bergerak, ketika arus listrik diberikan ke kumparan, permukaan kumparan yang bersifat utara akan bergerak menghadap ke magnet yang berkutub selatan dan kumparan yang bersifat selatan akan bergerak menghadap ke utara magnet. Saat ini, karena kutub utara kumparan bertemu dengan kutub selatan magnet ataupun kutub selatan kumparan bertemu dengan kutub utara magnet maka akan terjadi saling tarik menarik yang menyebabkan pergerakan kumparan berhenti.
Untuk menggerakannya lagi, tepat pada saat kutub kumparan berhadapan dengan kutub magnet, arah arus pada kumparan dibalik. Dengan demikian, kutub utara kumparan akan berubah menjadi kutub selatan dan kutub selatannya akan berubah menjadi kutub utara. Pada saat perubahan kutub tersebut terjadi, kutub selatan kumparan akan berhadap dengan kutub selatan magnet dan kutub utara kumparan akan berhadapan dengan kutub utara magnet. Karena kutubnya sama, maka akan terjadi tolak menolak sehingga kumparan bergerak memutar hingga utara kumparan berhadapan dengan selatan magnet dan selatan kumparan berhadapan dengan utara magnet. Pada saat ini, arus yang mengalir ke kumparan dibalik lagi dan kumparan akan berputar lagi karena adanya perubahan kutub. Siklus ini akan berulang-ulang hingga arus listrik pada kumparan diputuskan.
Transistor adalah sebuah komponen di dalam elektronika yang diciptakan dari bahan-bahan semikonduktor dan memiliki tiga buah kaki. Masing-masing kaki disebu sebagai basis, kolektor, dan emitor.
- Emitor (E) memiliki fungsi untuk menghasilkan elektron atau muatan negatif.
- Kolektor (C) berperan sebagai saluran bagi muatan negatif untuk keluar dari dalam transistor.
- Basis (B) berguna untuk mengatur arah gerak muatan negatif yang keluar dari transistor melalui kolektor.
Fungsi dari transistor sendiri adalah memperkuat arus listrik yang masuk ke dalam rangkaian. Fungsi ini berkebalikan dengan resistor yang berperan meredam arus listrik. Seperti yang telah disebutkan, transistor terdiri dari dua jenis yaitu NPN dan PNP. NPN merupakan singkatan dari Negatif Positif Negatif. Sedangkan PNP adalah kependekan dari Positif Negatif Positif. Transistor NPN akan aktif ketika kaki basis diberi arus listrik bermuatan negatif. Sebaliknya, transistor PNP akan aktif apabila kaki basis mendapatkan tegangan listrik positif. Pada transistor NPN, kaki basis memiliki kutub positif dan bersinggungan langsung dengan sumber listrik atau baterai. Sedangkan kaki emitor memiliki kutub negatif karena berhubungan langsung dengan massa. Kutub negatif juga ditemukan pada kaki kolektor yang menghubungkan massa di rangkaian listrik.
Konfigurasi Common Base adalah konfigurasi yang kaki Basis-nya di-ground-kan dan digunakan bersama untuk INPUT maupun OUTPUT. Pada Konfigurasi Common Base, sinyal INPUT dimasukan ke Emitor dan sinyal OUTPUT-nya diambil dari Kolektor, sedangkan kaki Basis-nya di-ground-kan. Oleh karena itu, Common Base juga sering disebut dengan istilah “Grounded Base”. Konfigurasi Common Base ini menghasilkan Penguatan Tegangan antara sinyal INPUT dan sinyal OUTPUT namun tidak menghasilkan penguatan pada arus.
Konfigurasi Common Collector (CC) atau Kolektor Bersama memiliki sifat dan fungsi yang berlawan dengan Common Base (Basis Bersama). Kalau pada Common Base menghasilkan penguatan Tegangan tanpa memperkuat Arus, maka Common Collector ini memiliki fungsi yang dapat menghasilkan Penguatan Arus namun tidak menghasilkan penguatan Tegangan. Pada Konfigurasi Common Collector, Input diumpankan ke Basis Transistor sedangkan Outputnya diperoleh dari Emitor Transistor sedangkan Kolektor-nya di-ground-kan dan digunakan bersama untuk INPUT maupun OUTPUT. Konfigurasi Kolektor bersama (Common Collector) ini sering disebut juga dengan Pengikut Emitor (Emitter Follower) karena tegangan sinyal Output pada Emitor hampir sama dengan tegangan Input Basis.
Konfigurasi Common Emitter (CE) atau Emitor Bersama merupakan Konfigurasi Transistor yang paling sering digunakan, terutama pada penguat yang membutuhkan penguatan Tegangan dan Arus secara bersamaan. Hal ini dikarenakan Konfigurasi Transistor dengan Common Emitter ini menghasilkan penguatan Tegangan dan Arus antara sinyal Input dan sinyal Output. Common Emitter adalah konfigurasi Transistor dimana kaki Emitor Transistor di-ground-kan dan dipergunakan bersama untuk INPUT dan OUTPUT. Pada Konfigurasi Common Emitter ini, sinyal INPUT dimasukan ke Basis dan sinyal OUTPUT-nya diperoleh dari kaki Kolektor.
Pada dasarnya, Relay terdiri dari 4 komponen dasar yaitu :
- Electromagnet (Coil)
- Armature
- Switch Contact Point (Saklar)
- Spring
Relay merupakan salah satu jenis dari Saklar, maka istilah Pole dan Throw yang dipakai dalam Saklar juga berlaku pada Relay. Berikut ini adalah penjelasan singkat mengenai Istilah Pole and Throw :
- Pole : Banyaknya Kontak (Contact) yang dimiliki oleh sebuah relay
- Throw : Banyaknya kondisi yang dimiliki oleh sebuah Kontak (Contact)
Berdasarkan penggolongan jumlah Pole dan Throw-nya sebuah relay, maka relay dapat digolongkan menjadi :
- Single Pole Single Throw (SPST) : Relay golongan ini memiliki 4 Terminal, 2 Terminal untuk Saklar dan 2 Terminalnya lagi untuk Coil.
- Single Pole Double Throw (SPDT) : Relay golongan ini memiliki 5 Terminal, 3 Terminal untuk Saklar dan 2 Terminalnya lagi untuk Coil.
- Double Pole Single Throw (DPST) : Relay golongan ini memiliki 6 Terminal, diantaranya 4 Terminal yang terdiri dari 2 Pasang Terminal Saklar sedangkan 2 Terminal lainnya untuk Coil. Relay DPST dapat dijadikan 2 Saklar yang dikendalikan oleh 1 Coil.
- Double Pole Double Throw (DPDT) : Relay golongan ini memiliki Terminal sebanyak 8 Terminal, diantaranya 6 Terminal yang merupakan 2 pasang Relay SPDT yang dikendalikan oleh 1 (single) Coil. Sedangkan 2 Terminal lainnya untuk Coil.
Resistor jenis Carbon Composistion ini terbuat dari komposisi karbon halus yang dicampur dengan bahan isolasi bubuk sebagai pengikatnya (binder) agar mendapatkan nilai resistansi yang diinginkan. Semakin banyak bahan karbonnya semakin rendah pula nilai resistansi atau nilai hambatannya. Untuk menghitung nilai resistor yang tepat untuk suatu rangkaian elektronik atau listrik, Anda harus mengetahui nilai resistansi yang diinginkan dan kemampuan daya (daya yang dapat ditahannya) resistor yang dibutuhkan. Berikut langkah-langkah umum untuk menghitung nilai resistor:
1. Tentukan Nilai Resistansi yang Diinginkan:
Anda harus menentukan nilai resistansi yang diperlukan dalam rangkaian. Nilai resistansi diukur dalam satuan ohm (Ω). Pastikan Anda mengetahui nilai resistansi yang dibutuhkan sesuai dengan spesifikasi dan kebutuhan rangkaian.
2. Tentukan Toleransi Resistansi:
Resistor memiliki toleransi, yang menunjukkan sejauh mana nilai resistansinya dapat berbeda dari nilai yang sebenarnya. Toleransi biasanya dinyatakan dalam persen. Jika toleransi resistor tidak dijelaskan secara khusus, nilai toleransi default biasanya adalah 5% atau 10%.
3. Hitung Daya yang Dibutuhkan:
Anda juga harus memperhatikan daya yang dibutuhkan oleh resistor. Daya resistor diukur dalam watt (W) dan menunjukkan seberapa besar daya yang dapat ditahannya tanpa meleleh atau rusak. Pastikan daya yang dibutuhkan oleh resistor melebihi daya maksimum yang akan melewatinya dalam rangkaian.
4. Pilih Jenis Resistor:
Ada berbagai jenis resistor, termasuk resistor karbon, resistor film logam, resistor daya tinggi, dan banyak lagi. Pilih jenis resistor yang sesuai dengan kebutuhan dan spesifikasi rangkaian Anda.
5. Hitung Nilai Resistor:
Setelah mengetahui nilai resistansi dan daya yang dibutuhkan, Anda dapat mencari nilai resistor yang tepat menggunakan rumus-rumus berikut:
a. Untuk resistor yang disarankan:
Nilai resistor yang paling umum tersedia adalah nilai-nili resistansi standar dalam seri E12, E24, atau E96. Anda dapat memilih resistor terdekat yang lebih tinggi atau lebih rendah dari nilai resistansi yang diinginkan, tetapi pastikan perbedaan tersebut masih berada dalam toleransi resistor yang Anda tentukan.
b. Untuk resistor yang kustom:
Jika Anda memerlukan nilai resistansi yang sangat spesifik dan tidak tersedia dalam seri resistor standar, Anda dapat menggunakan hukum Ohm untuk menghitung resistansi yang diperlukan:
R = V / I
di mana:
R adalah nilai resistansi dalam ohm (Ω).
V adalah tegangan dalam volt (V) pada resistor.
I adalah arus dalam ampere (A) yang mengalir melalui resistor.
Dalam beberapa kasus, Anda mungkin perlu mengkombinasikan beberapa resistor dalam rangkaian seri atau paralel untuk mencapai nilai resistansi yang diinginkan.
Selalu pastikan untuk memverifikasi nilai resistansi yang dipilih dengan menggunakan multimeter atau alat pengukur lainnya sebelum mengintegrasikan resistor ke dalam rangkaian Anda. Juga, perhatikan toleransi dan daya maksimum resistor untuk memastikan performanya sesuai dengan harapan dalam aplikasi yang diinginkan.
pH merupakan suatu parameter yang digunakan untuk menyatakan tingkat keasaman atau basa yang dimiliki oleh suatu zat, larutan atau benda. Kadar pH diukur pada skala 0 sampai 14.
Dapat dilihat pada gambar diatas skala pH netral memiliki sifat basa sedangkan nilai pH netral memiliki nilai pH , bila nilai pH >7 menunjukan zat tersebut memiliki sifat basa sedangkan nilai pH < 7 menunjukan derajat kebasaan tertinggi.
Spesifikasi Sensor Asam
Pada perencanaa sensor pH yang akan digunakan adalah jenis Elektroda (SKU : SEN0161) dari DF Robot dengan spesifikasi sebagai berikut :
- Daya Modul : 5V
- Ukuran Modul : 43mm x 32mm
- Jarak pengukuran : 0-14.0 pH
- Pengukuran Suhu : 0-60 ºC
- Akurasi : ± 0.1pH (25ºC)
- Waktu tanggap : < 1 menit
- Ph Sensor dengan Kabel BNC
- Antarmuka pH 2.0 3 pin
- LED Indikator Data
Prinsip Kerja Sensor Ph
Prinsip kerja utama sensor pH meter terletak pada probe elektroda kaca (glass electrode) dengan jalan mengukur jumlah ion H3O+ di dalam larutan. Ujung elektroda kaca setebal 0,1 mm yang berbentuk bulat (bulb). Bulb ini dipasangkan dengan silinder kaca non-konduktor atau plastic memanjang diisi dengan larutan HCL. Didalam larutan HCL, terendam sebuah kawat elektrode panjang berbahan perak yang pada permukaannya terbentuk senyawa setimbang AgCL,kostantannya jumlah larutan HCL pada sistem ini membuat electrode Ag/AgCL memiliki nilai potemsial stabil.
Inti sensor pH pada permukaan bulbkaca yang memiliki kemampuan untuk bertukar ion positif (H+) dengan larutan terukur. Kaca tersusun atas molekul silicon dioksida dengan sejumlah ikatan logam alkali. Pada saat bulb kaca ini terekspos air, ikatan SiO akan berprotonasi membentuk tipis HsiO+ sesuai dengan reaksi tersebut.
Pada perencanaa sensor pH yang akan digunakan adalah jenis Elektroda (SKU : SEN0161) dari DF Robot dengan spesifikasi sebagai berikut :
- Daya Modul : 5V
- Ukuran Modul : 43mm x 32mm
- Jarak pengukuran : 0-14.0 pH
- Pengukuran Suhu : 0-60 ºC
- Akurasi : ± 0.1pH (25ºC)
- Waktu tanggap : < 1 menit
- Ph Sensor dengan Kabel BNC
- Antarmuka pH 2.0 3 pin
- LED Indikator Data
Prinsip Kerja Sensor Ph
Prinsip kerja utama sensor pH meter terletak pada probe elektroda kaca (glass electrode) dengan jalan mengukur jumlah ion H3O+ di dalam larutan. Ujung elektroda kaca setebal 0,1 mm yang berbentuk bulat (bulb). Bulb ini dipasangkan dengan silinder kaca non-konduktor atau plastic memanjang diisi dengan larutan HCL. Didalam larutan HCL, terendam sebuah kawat elektrode panjang berbahan perak yang pada permukaannya terbentuk senyawa setimbang AgCL,kostantannya jumlah larutan HCL pada sistem ini membuat electrode Ag/AgCL memiliki nilai potemsial stabil.
LDR (Light Dependent Resistor) merupakan salah satu komponen resistor yang nilai resistansinya akan berubah-ubah sesuai dengan intensitas cahaya yang mengenai sensor ini. LDR juga dapat digunakan sebagai sensor cahaya.
Spesifikasi:
· Tegangan maksimum (DC): 150V
· Konsumsi arus maksimum: 100mW
· Tingkatan Resistansi/Tahanan : 10Ω sampai 100KΩ
· Puncak spektral: 540nm (ukuran gelombang cahaya)
· Waktu Respon Sensor : 20ms – 30ms
· Suhu operasi: -30° Celsius – 70° Celcius.
15. Sensor Suhu LM35
Sensor suhu LM35 adalah komponen elektronika yang memiliki fungsi untuk mengubah besaran suhu menjadi besaran listrik dalam bentuk tegangan. Sensor Suhu LM35 yang dipakai dalam penelitian ini berupa komponen elektronika elektronika yang diproduksi oleh National Semiconductor. LM35 memiliki keakuratan tinggi dan kemudahan perancangan jika dibandingkan dengan sensor suhu yang lain, LM35 juga mempunyai keluaran impedansi yang rendah dan linieritas yang tinggi sehingga dapat dengan mudah dihubungkan dengan rangkaian kendali khusus serta tidak memerlukan penyetelan lanjutan.
. Berikut ini adalah karakteristik dari sensor LM35:
- Memiliki sensitivitas suhu, dengan faktor skala linier antara tegangan dan suhu 10 mVolt/ºC, sehingga dapat dikalibrasi langsung dalam celcius.
- Memiliki ketepatan atau akurasi kalibrasi yaitu 0,5ºC pada suhu 25 ºC
- Memiliki jangkauan maksimal operasi suhu antara -55 ºC sampai +150 ºC.
- Bekerja pada tegangan 4 sampai 30 volt.
- Memiliki arus rendah yaitu kurang dari 60 µA.
- Memiliki pemanasan sendiri yang rendah (low-heating) yaitu kurang dari 0,1 ºC pada udara diam.
- Memiliki impedansi keluaran yang rendah yaitu 0,1 W untuk beban 1 mA.
- Memiliki ketidaklinieran hanya sekitar ± ¼ ºC.
. Berikut ini adalah karakteristik dari sensor LM35:
- Memiliki sensitivitas suhu, dengan faktor skala linier antara tegangan dan suhu 10 mVolt/ºC, sehingga dapat dikalibrasi langsung dalam celcius.
- Memiliki ketepatan atau akurasi kalibrasi yaitu 0,5ºC pada suhu 25 ºC
- Memiliki jangkauan maksimal operasi suhu antara -55 ºC sampai +150 ºC.
- Bekerja pada tegangan 4 sampai 30 volt.
- Memiliki arus rendah yaitu kurang dari 60 µA.
- Memiliki pemanasan sendiri yang rendah (low-heating) yaitu kurang dari 0,1 ºC pada udara diam.
- Memiliki impedansi keluaran yang rendah yaitu 0,1 W untuk beban 1 mA.
- Memiliki ketidaklinieran hanya sekitar ± ¼ ºC.

Spesifikasi LM35 :
· Dikalibrasi Langsung dalam Celcius (Celcius)
· Faktor Skala Linear + 10-mV / ° C
· 0,5 ° C Pastikan Akurasi (pada 25 ° C)
· Dinilai untuk Rentang Penuh −55 ° C hingga 150 ° C
· Cocok untuk Aplikasi Jarak Jauh
· Biaya Rendah Karena Pemangkasan Tingkat Wafer
· Beroperasi Dari 4 V hingga 30 V
· Pembuangan Arus Kurang dari 60-μA
· Pemanasan Mandiri Rendah, 0,08 ° C di Udara Diam
· Hanya Non-Linearitas ± ¼ ° C Tipikal
· Output Impedansi Rendah, 0,1 Ω untuk Beban 1-mA
Prinsip kerja alat pengukur suhu ini, adalah sensor suhu difungsikan untuk mengubah besaran suhu menjadi tegangan, dengan kata lain panas yang ditangkap oleh LM35 sebagai sensor suhu akan diubah menjadi tegangan.
| Source: |
Diagram sirkuit ditunjukkan di atas. Secara singkat, ada dua transistor di tengah gambar. Yang satu memiliki sepuluh kali luas emitor yang lain. Ini berarti ia memiliki sepersepuluh dari kerapatan arus, karena arus yang sama mengalir melalui kedua transistor. Ini menyebabkan tegangan melintasi resistor R1 yang sebanding dengan suhu absolut, dan hampir linier melintasi rentang yang kita pedulikan. Bagian "hampir" ditangani oleh sirkuit khusus yang meluruskan grafik tegangan versus suhu yang sedikit melengkung.
16. Water Sensor
- Water sensor adalah controller yang bisa mendeteksi volume air, tinggi air, serta kualitas air di dalam tangki, sungai, danau, dan sejenisnya dengan akurat dan mudah. Sensor ini merupakan perangkat yang bisa mematikan atau mengobarkan pompa air secara otomatis andai air mulai berakhir atau sudah nyaris penuh.
Jumlah Pin pada Sensor ini berjumlah 3 Yaitu :
- Pin Negatif (-)
- Pin Positif (+)
- Pin Data (S)
17. Gerbang Logika


Gerbang OR memerlukan 2 atau lebih Masukan (Input) untuk menghasilkan hanya 1 Keluaran (Output). Gerbang OR akan menghasilkan Keluaran (Output) 1 jika salah satu dari Masukan (Input) bernilai Logika 1 dan jika ingin menghasilkan Keluaran (Output) Logika 0, maka semua Masukan (Input) harus bernilai Logika 0. Simbol yang menandakan Operasi Logika OR adalah tanda Plus (“+”). Contohnya : Z = X + Y.
18. Buzzer
Demultiplekser (Demultiplexer atau disingkat Demux) memiliki prinsip kerja kebalikan dari multiplekser. Demux dapat digunakan untuk memilih BEBERAPA jalur output dari SEBUAH input. Demux sangat berguna ketika kita memiliki keterbatasan jalur input, misalnya kekurangan pin out dari sebuah mikrokontroler. Sebagai contoh ketika kita ingin menyalakan beberapa LED secara bergantian, misalnya 8 LED. Jika kita menggunakan satu pin output untuk setiap LED, maka kita memerlukan sebanyak 8 pin output. IC 4555 bertindak sebagai Deultiplekser maupun sebagai Demultiplekser. Dalam penggunaannya, kita cukup membalikkan input dan output:
Tabel Pengaktifan Seven Segment Display
| ANGKA | h | g | f | e | d | c | b | a |
| 0 | 0 | 0 | 1 | 1 | 1 | 1 | 1 | 1 |
| 1 | 0 | 0 | 0 | 0 | 0 | 1 | 1 | 0 |
| 2 | 0 | 1 | 0 | 1 | 1 | 0 | 1 | 1 |
| 3 | 0 | 1 | 0 | 0 | 1 | 1 | 1 | 1 |
| 4 | 0 | 1 | 1 | 0 | 0 | 1 | 1 | 0 |
| 5 | 0 | 1 | 1 | 0 | 1 | 1 | 0 | 1 |
| 6 | 0 | 1 | 1 | 1 | 1 | 1 | 0 | 1 |
| 7 | 0 | 0 | 0 | 0 | 0 | 1 | 1 | 1 |
| 8 | 0 | 1 | 1 | 1 | 1 | 1 | 1 | 1 |
| 9 | 0 | 1 | 1 | 0 | 1 | 1 | 1 | 1 |
Catatan :
1 = ON (High)
0 = OFF (Low)
24. OP-AMP
Op-Amp adalah salah satu dari bentuk IC Linear yang berfungsi sebagai Penguat Sinyal listrik. Sebuah Op-Amp terdiri dari beberapa Transistor, Dioda, Resistor dan Kapasitor yang terinterkoneksi dan terintegrasi sehingga memungkinkannya untuk menghasilkan Gain (penguatan) yang tinggi pada rentang frekuensi yang luas.
Simbol
Karakteristik IC OpAmp
- Penguatan Tegangan Open-loop atau Av = ∞ (tak terhingga)
- Tegangan Offset Keluaran (Output Offset Voltage) atau Voo = 0 (nol)
- Impedansi Masukan (Input Impedance) atau Zin= ∞ (tak terhingga)
- Impedansi Output (Output Impedance ) atau Zout = 0 (nol)
- Lebar Pita (Bandwidth) atau BW = ∞ (tak terhingga)
- Karakteristik tidak berubah dengan suhu
Inverting Amplifier
Rumus:
Non Inverting
Rumus:
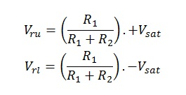
Komparator
Rumus:
Adder
Rumus:
Bentuk Gelombang
Langkah-langkah percobaan :
1. Siapkan komponen yang akan digunakan
2. Posisikan komponen sesuai pada gambar
3. Rangkai semua komponen dengan benar dan tepat
4. Untuk sensor jangan lupa memasukkan code hex, agar sensor dapat berfungsi
5. tekan tombol play untuk menjalankan rangkaian

6. Video Rangkaian [Kembali]





.jpeg)

















.jpeg)
















.png)
.png)















.png)
.png)
.png)










Komentar
Posting Komentar